approxPolyDP()函数是opencv中对指定的点集进行多边形逼近的函数,其逼近的精度可通过参数设置。
对应的函数为:
void approxPolyDP(InputArray curve, OutputArray approxCurve, double epsilon, bool closed);
例如:approxPolyDP(contourMat, approxCurve, 10, true);//找出轮廓的多边形拟合曲线
第一个参数 InputArray curve:输入的点集
第二个参数OutputArray approxCurve:输出的点集,当前点集是能最小包容指定点集的。画出来即是一个多边形。
第三个参数double epsilon:指定的精度,也即是原始曲线与近似曲线之间的最大距离。
第四个参数bool closed:若为true,则说明近似曲线是闭合的;反之,若为false,则断开。
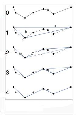
经典的Douglas-Peucker算法描述如下:
(1)在曲线首尾两点A,B之间连接一条直线AB,该直线为曲线的弦;
(2)得到曲线上离该直线段距离最大的点C,计算其与AB的距离d;
(3)比较该距离与预先给定的阈值threshold的大小,如果小于threshold,则该直线段作为曲线的近似,该段曲线处理完毕。
(4)如果距离大于阈值,则用C将曲线分为两段AC和BC,并分别对两段取信进行1~3的处理。
(5)当所有曲线都处理完毕时,依次连接各个分割点形成的折线,即可以作为曲线的近似。

